Enquiry

Technical data sheet (TDS) / Specifications sheet

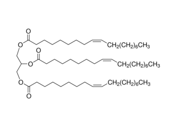
Triolein, 99%

: (9Z)9-Octadecenoic acid 1,2,3-propanetriyl ester, 1,2,3-Tri(cis-9-octadecenoyl)glycerol, Glycerol trioleate, Glycerol triolein, Glyceryl trioleate, Oleic acid triglyceride, Oleic triglyceride

: T 2275

: for biochemistry

: (C17H33COOCH2)2CHOCOC17H33

: 99%

: 885.43

: Triolein is a symmetrical triglyceride derived from glycerol and three units of the unsaturated fatty acid oleic acid.

: T 2275 (OTTO) Triolein, 99% Cas 122-32-7 - used as lubricant and emulsifier used in textiles and cosmetics. T 2275 (OTTO) Triolein, 99% Cas 122-32-7 - used in marketed preparations of sustained-release injections of cytarabine and multivesicular liposomal injections of morphine sulfate.


Properties

: 99%+

: Viscous liquid or liquid

: 235-240 °C

: 0.91 g/mL(lit.)


Safety Information

Personal Protective Equipment Eyeshields, Gloves
WGK Germany nwg
RTECS RG1936500
Flash Point(F) 626 °F
Flash Point(C) 330 °C


PackingsPrice (INR)
500 mg 7009.00
1 gm 10519.00
5 gm POR
100 gm POR