Enquiry

Technical data sheet (TDS) / Specifications sheet

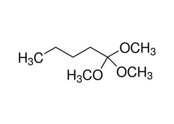
Trimethyl orthovalerate, 97%

: 1,1,1-Trimethoxypentane, Orthovaleric acid trimethyl ester

: T 2236

: for synthesis

: CH3CH2CH2CH2C(OCH3)3

: 97%

: 162.23

: T 2236 (OTTO) Trimethyl orthovalerate, 97% Cas 13820-09-2 - used in the synthesis of 1,2,4-triazolo[1,5-c]pyrimidine derivatives as human adenosine A3 receptor ligands. T 2236 (OTTO) Trimethyl orthovalerate, 97% Cas 13820-09-2 - used as a precursor to prepare N-sulfonyl and N-sulfinyl imines and imidates.


Properties

: 97%

: Liquid

: Colourless to light yellow

: 164-166 °C(lit.)

: 0.941 g/mL at 25 °C(lit.)


Safety Information
  • Exclamation Mark
  • Flame

Symbol GHS02GHS07 GHS02, GHS07
Signal word Warning
Hazard statements H226-H315-H319
Precautionary statements P305 + P351 + P338
Personal Protective Equipment Eyeshields, Faceshields, full-face respirator (US), Gloves, multi-purpose combination respirator cartridge (US), type ABEK (EN14387) respirator filter
Hazard Codes Xi
Risk Statements 10-36/38
Safety Statements 26-36
RIDADR UN 3272 3/PG 3
WGK Germany 3


PackingsPrice (INR)
25 gm 7616.00
100 gm 28125.00
1 kg POR
Custom size POR