Enquiry

Technical data sheet (TDS) / Specifications sheet

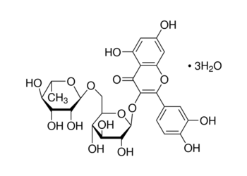
Rutin

: Quercetin-3-rutinoside hydrate, Vitamin P hydrate, Rutoside trihydrate

: R 1380

: for biochemistry

: C27H30O16.3H2O

: 664.56

: Rutin is a flavonoid and a glycoside of quercetin with the disaccharide rutinose, composed of rhamnose and glucose composed.

: R 1380 (OTTO) Rutin Cas 250249-75-3 - used by many plants as a dye for protection against UV formed radiation.


Properties

: 90%+

: Powder

: Yellow to green yellow

: 214-215 ° C

: 6-10%

: 9.0 ± 2.0 degree

: Confirms


Safety Information
  • Exclamation Mark

Signal word Warning
Hazard statements H302
Personal Protective Equipment dust mask type N95 (US), Eyeshields, Gloves
Hazard Codes Xn
Risk Statements 22
WGK Germany 3


PackingsPrice (INR)
25 gm 1181.00
100 gm 4365.00
500 gm POR
1 kg POR