Enquiry

Technical data sheet (TDS) / Specifications sheet

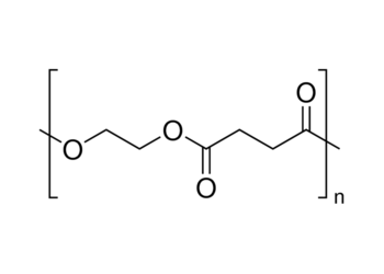
Poly(ethylene succinate)

: Ethylene glycol succinate, PES

: P 2011

: (OCH2CH2O2CCH2CH2CO)n

: Poly(ethylene succinate) (PES) is an aliphatic synthetic polyester with a melting point from 103–106 °C. It is synthesized from dicarboxylic acids; either by ring-opening polymerization of succinic anhydride with ethylene oxide or by polycondensation of succinic acid and ethylene glycol

: P 2011 (OTTO) Poly(ethylene succinate) Cas 25569-53-3 - used in the manufacture of perfumes, printing ink, lacquers and resins.


Properties

: Chunks


Safety Information

Personal Protective Equipment Eyeshields, Gloves, type N95 (US), type P1 (EN143) respirator filter
WGK Germany 3


PackingsPrice (INR)
25 gm 18011.00
100 gm 63866.00
1 kg POR