Enquiry

Technical data sheet (TDS) / Specifications sheet

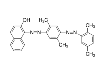
Oil red o, certified

: 1-([4-(Xylylazo)xylyl]azo)-2-naphthol, 1-[2,5-Dimethyl-4-(2,5-dimethylphenylazo)phenylazo]-2-naphthol, Solvent Red 27, Solvent Red 27

: O 1284

: for electrophoresis

: C26H24N4O

: 408.49

: Oil red o, is a lysochrome (fat-soluble dye) is a diazo dye.

: O 1285 (OTTO) Oil red o, certified Cas 14288-70-1 - used for the staining of lipid droplets and lipid-containing vacuoles in cells.


Properties

: Powder

: Dye content, ≥75%

: 120 °C

: Chloroform / ethanol (1:1): 1 mg/mL


Safety Information

Safety Statements 22-24/25
WGK Germany 3


PackingsPrice (INR)
25 gm 4061.00
100 gm 9383.00
5 x 1 kg POR