Enquiry

Technical data sheet (TDS) / Specifications sheet

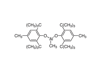
Methylaluminum bis(2,6-di-tert-butyl-4-methylphenoxide) 0.4M in Toluene

: Bis(2,6-di-tert-butyl-4-methylphenoxy)methylaluminum (0.4mol/L in Toluene) , MAD reagent

: M 2015

: C31H49AlO2

: 480.71

: M 2015 (OTTO) Methylaluminum bis(2,6-di-tert-butyl-4-methylphenoxide) 0.4M in Toluene Cas 56252-55-2 -
used as reagent in chemical research.


Properties

: Liquid

: Colourless to orange to yellow

: 19-24 w/w%


Safety Information
  • Corrosion
  • Exclamation Mark
  • Flame
  • Health Hazard

H332 : Harmful if inhaled.
H314 : Causes severe skin burns and eye damage.


PackingsPrice (INR)
25 ml 8991.00
100 ml 34992.00
Custom size POR