Enquiry

Technical data sheet (TDS) / Specifications sheet

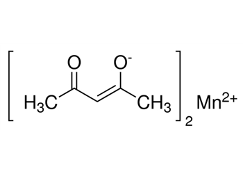
Manganese(II) acetylacetonate

: 2,4-Pentanedione manganese(II) derivative

: M 4748

: [CH3COCH=C(O)CH3]2Mn

: 2914.19

: Manganese(II) acetylacetonate (Mn(acac)2) is a transition metal acetylacetonate that is trimeric in hydrocarbon solvents.

: M 4748 (OTTO) Manganese(II) acetylacetonate Cas 14024-58-9 - used with potassium permanganate in preparation of manganese triad (Mn(acac)3).


Properties

: Powder

: Light brown

: 248-250 °C (dec.) (lit.)


Safety Information
  • Exclamation Mark
  • Health Hazard

signalword:Warning
hcodes:H302 + H312 + H332 - H315 - H319 - H335 - H351
pcodes:P201 - P280 - P301 + P312 + P330 - P302 + P352 + P312 - P304 + P340 + P312 - P308 + P313
Target Organs: Respiratory system
Personal Protective Equipment: dust mask type N95 (US),Eyeshields,Gloves
RIDADR: NONH for all modes of transport
WGK Germany: WGK 3


PackingsPrice (INR)
5 gm 5411.00
100 gm 10811.00
5 x 1 kg POR