Enquiry

Technical data sheet (TDS) / Specifications sheet

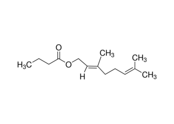
Geranyl butyrate

: G 1249

: for synthesis

: CH3CH2CH2CO2CH2CH=C(CH3)CH2CH2CH=C(CH3)2

: 224.34

: G 1249 (OTTO) Geranyl butyrate Cas 106-29-6 - used in red apple and pineapple flavors.


Properties

: ≥95%

: n20/D 1.461(lit.)

: 151-153 °C

: 0.896 g/mL at 25 °C(lit.)


Safety Information
  • Exclamation Mark

refractive index n20/D 1.461(lit.)
bp 151-153 °C/18 mmHg(lit.)
density 0.896 g/mL at 25 °C(lit.)


PackingsPrice (INR)
500 gm 7886.00
5 kg POR
4 x 25 kg POR