Enquiry

Technical data sheet (TDS) / Specifications sheet

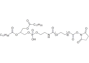
DSPE-PEG-NHS, MW 3400

: 1,2-Distearoyl-sn-Glycero-3-Phosphoethanolamine PEG NHS, NHS PEG DSPE, DSPE PEG Succinimidyl ester

: D 3916

: D 3916 (OTTO) DSPE-PEG-NHS, MW 3400 - used reactive phospholipids to conjugate antibodies, proteins, peptides or other substrates to the surface of liposome and other lipid PEG nanoparticles.


Properties

: Solid

: White

: 90%

: 2-8°C


Safety Information

Safety Information for this product is unavailable at this time.


PackingsPrice (INR)
100 mg 301129.00