Enquiry

Technical data sheet (TDS) / Specifications sheet

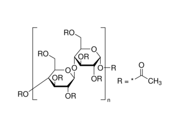
Cellulose triacetate

: Triacetylcellulose

: C 9915

: Cellulose triacetate, (triacetate, CTA or TAC) is a chemical compound produced from cellulose and a source of acetate esters, typically acetic anhydride.

: C 9915 (OTTO) Cellulose triacetate Cas 9012-09-3 - used to fibres have a crenate cross section. C 9915 (OTTO) Cellulose triacetate Cas 9012-09-3 - used with polyester to create shiny tracksuits.


Properties

: Powder or chunks or granules

: White to off white to light yellow

: Colourless

: Chloroform: 0.1 g/10 mL, clear, colorless (leave for 5 h)

: 43 - 44 wt %


Safety Information

RIDADR NONH for all modes of transport
WGK Germany nwg


PackingsPrice (INR)
50 gm 38261.00
100 gm 61256.00
500 gm POR