Enquiry

Technical data sheet (TDS) / Specifications sheet

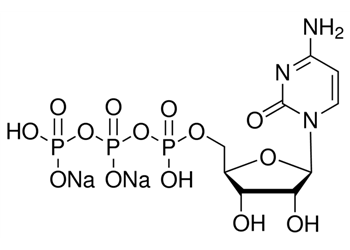
Cytidine 5′-triphosphate disodium salt, ≥95%

: CTP

: C 7404

: C9H14N3Na2O14P3

: 527.12

: Cytidine 5′-triphosphate is a nucleoside triphosphate with a pyrimidine ring. It is present in RNA.

: C 7404 (OTTO) Cytidine 5′-triphosphate disodium salt, ≥95% Cas 36051-68-0 - used for the conversion of adenosine monophosphate (AMP) to adenosine diphosphate (ADP) in luminometry analysis.


Properties

: ≥95%

: White

: Powder

: 2-8 °C


Safety Information

RIDADR NONH for all modes of transport


PackingsPrice (INR)
10 mg 2936.00
25 mg 4883.00
100 mg 13511.00
250 mg 26629.00
1 gm 73811.00
1 kg POR