Enquiry

Technical data sheet (TDS) / Specifications sheet

Sodium triphosphate, anhydrous

: STPP; Sodium phosphate; Sodium triphosphate

: S 2475

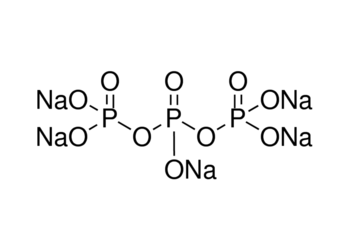
: Na5P3O10

: 367.86

: Sodium triphosphate (STP), also sodium tripolyphosphate (STPP), or tripolyphosphate (TPP),[1]) is an inorganic compound with formula Na5P3O10. It is the sodium salt of the polyphosphate penta-anion, which is the conjugate base of triphosphoric acid. It is produced on a large scale as a component of many domestic and industrial products, especially detergents.

: S 2475 (OTTO) Sodium triphosphate, anhydrous Cas 7758-29-4 - used for the determination of BSB The majority of STPP is consumed as a component of commercial detergents.


Properties

: 90%

: Powder

: White

: 622 °C


Safety Information

Symbol GHS07 GHS07
Signal word Warning
Hazard statements H315-H319-H335
Precautionary statements P261-P305 + P351 + P338
Personal Protective Equipment dust mask type N95 (US), Eyeshields, Gloves
Hazard Codes Xi
Risk Statements 36/37/38
Safety Statements 26-36
WGK Germany 1
RTECS YK4570000


PackingsPrice (INR)
1 kg 743.00
5 kg 3488.00
25 kg POR
4 x 25 kg POR