Enquiry

Technical data sheet (TDS) / Specifications sheet

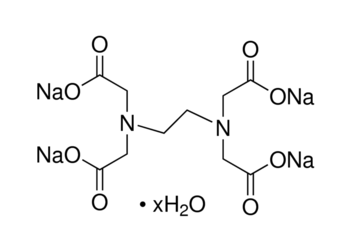
Ethylenediaminetetraacetic acid tetra sodium salt, 98%

: EDTA, tetrasodium salt, dihydrate Ethylenediamine tetraacetic acid, tetrasodium salt, dihydrate; tetrasodium ethylenediaminetetraacetate; EDTA-4Na; Ethylenediaminetetraacetic acid tetrasodium salt HYDRATE; EDTA 4Na; tetrasodium 2,2',2'',2'''-(ethane-1,2-diyldinitrilo)tetraacetate; Ethylenediaminetetraacetic acid tetrasodium; Edetate Sodium; EDTA Tetrasodium(Na4); Sodium edetate; Tetrasodium EDTA

: E 1515

: for sythesis

: C10H12N2Na4O8.4H2O

: 98%

: 452.24

: EDTA tetra sodium salt is used to eliminate enzyme inhibition by traces of heavy metals, and to inhibit enzymes that require divalent cations as cofactors.

: E 1515 (OTTO) EDTA tetra sodium salt, 98% - used to eliminate enzyme inhibition by traces of heavy metals, and to inhibit enzymes that require divalent cations as cofactors.


Properties

: 99%

: White

: Powder

: 0.01% max

: 0.001% max

: 10.5-11.5

: 215 min


Safety Information

Hazard statements H302-H318
Precautionary statements P280-P305 + P351 + P338
Personal Protective Equipment dust mask type N95 (US), Eyeshields, Gloves
Hazard Codes Xi
Risk Statements 36/37/38
Safety Statements 26-36/37
WGK Germany 2


PackingsPrice (INR)
100 gm 225.00
500 gm 900.00
5 kg 8550.00
4 x 25 kg POR