Enquiry

Technical data sheet (TDS) / Specifications sheet

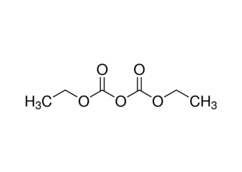
Diethyl pyrocarbonate, 98%

: DEP, DEPC, Diethyl dicarbonate, Diethyl oxydiformate, Ethoxyformic acid anhydride

: D 1780

: O(COOC2H5)2

: 162.14

: Diethylpyrocarbonate (DEPC), also called diethyl dicarbonate is used in the laboratory to inactivate RNase enzymes in water and on laboratory utensils.

: D 1780 (OTTO) Diethyl pyrocarbonate, 99% Cas 1609-47-8 - used for probing the structure of double-stranded DNA. D 1780 (OTTO) Diethyl pyrocarbonate, 99% Cas 1609-47-8 - used in the following studies for the modification of histidyl residues in proteins.


Properties

: 98%

: Colourless

: Liquid

: 1.120-1.122 g/ml


Safety Information
  • Exclamation Mark

Hazard Codes Xn
Risk Statements 22-36/37/38
Safety Statements 26-36
WGK Germany 3


PackingsPrice (INR)
5 ml 1496.00
25 ml 3128.00
100 ml 11014.00
500 ml 52380.00
Custom size POR