Enquiry

Technical data sheet (TDS) / Specifications sheet

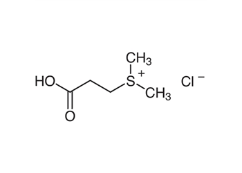
Dimethylpropiothetin hydrochloride, 97%

: Dimethyl-3-propiothetin chloride, Dimethylsulfoniopropionate hydrochloride, (2-Carboxyethyl)dimethylsulfonium chloride

: D 2231

: C5H10O2S.HCl

: 170.66

: D 2231 (OTTO) Dimethylpropiothetin hydrochloride, 97% Cas 4337-33-1 - used as reagent in chemical research.


Properties

: ≥97%

: White to off white

: Powder or crystals

: 2-8 °C


Safety Information

WGK 3


PackingsPrice (INR)
10 gm 8753.00
25 gm 9911.00
100 gm 30049.00
1 kg POR