Enquiry

Technical data sheet (TDS) / Specifications sheet

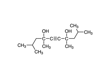
2,4,7,9-Tetramethyl-5-decyne-4,7-diol, 95%

: 4,7-Dihydroxy-2,4,7,9-tetramethyl-5-decyne (DL- and meso- mixture)

: T 1232

: C14H26O2

: 226.36


Properties

: 95%

: powder to lump

: White to Yellow

: 54 °C

: 260 °C

: 2-8 °C


Safety Information
  • Exclamation Mark
  • Health Hazard

PackingsPrice (INR)
5 gm POR
25 gm POR
Custom size POR