Enquiry

Technical data sheet (TDS) / Specifications sheet

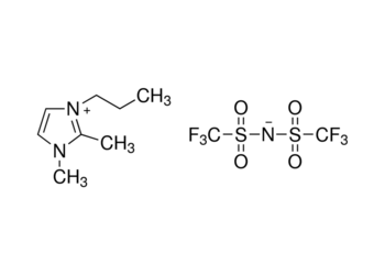
1,2-Dimethyl-3-propylimidazolium bis(trifluoromethylsulphonyl)imide, 99.9%

: DMPIIm

: DI-0010

: C10H15F6N3O4S2

: 419.36

: 1,2-Dimethyl-3-propylimidazolium bis(trifluoromethylsulphonyl)imide, 99.9% Cas 169051-76-7 is an ionic liquid.

: DI-0010 (OTTO) 1,2-Dimethyl-3-propylimidazolium bis(trifluoromethylsulphonyl)imide, 99.9% Cas 169051-76-7 - used in specialty chemical synthesis.


Properties

: 99.9% trace metals basis

: Liquid

: Colourless to yellow

: 1.436 g/mL at 25 °C


Safety Information

WGK Germany 3
Flash Point(F) >230 °F
Flash Point(C) >110 °C


PackingsPrice (INR)
1 gm 150874.00
50 gm POR